Как решить: Известно, что ни одно из чисел а, b, с не равно 0 и а+b+с=0?

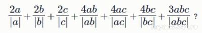
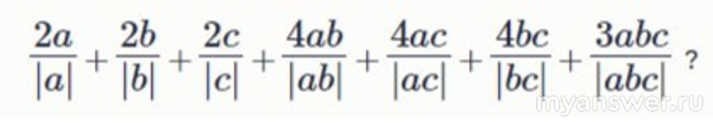
Известно, что ни одно из чисел а, b, с не равно 0 и что а+b+с=0. Какие значения может принимать выражение

Как решить: Известно, что ни одно из чисел а, b, с не равно 0 и а+b+с=0?

Укажите все подходящие варианты.

0
Жалоба

Ответы (1)

Во-первых, все эти выражения a/|a|, b/|b|, c/|c|, ab/|ab|, ac/|ac|, bc/|bc|, abc/|abc| равны ±1. Это или плюс, или минус единица в зависимости от знака того, что в числителе. Другими словами, в знаменателе всегда позитив, а знак всей дроби зависит исключительно от знака числителя... Ну и ещё нам нужно будет каждый раз умножать это самое ±1 на нужный коэффициент впереди: на 2, на 3 или на 4.

Сказано также, что нулевых чисел среди наших переменных a, b, c нет. Но как-то получилось, что a + b + c = 0. Ни три положительных числа в сумме не могут дать ноль (они дадут положительное число, а ноль — число не положительное), ни три отрицательных (аналогично).

На мой взгляд, у нас всего два принципиальных случая, которые приведут к двум разным потенциальным ответам:

1) Случай № 1. Две переменные положительны, а третья отрицательна.

К примеру, 3, 4 и –7.

Тогда среди первых трёх слагаемых два каких-то слагаемых будут равны числу 2, а третье слагаемое из числа трёх первых будет равно –2.

Аналогично рассмотрим вторую тройку слагаемых (4, 5 и 6-е): у нас три попарных произведения, одно из которых будет положительным, а два — отрицательными. [Скажем, a > 0, b > 0, c < 0 — тогда: ab > 0, ac < 0, bc < 0.]

Последнее, седьмое слагаемое будет отрицательным за счёт нечётного числа отрицательных сомножителей (негативный сомножитель в данном случае один).

Итого мы имеем такой расклад:

2 + 2 – 2 + 4 – 4 – 4 – 3 = 2 – 4 – 3 = –5.

2) Случай № 2. Теперь, наоборот, предположим, что у нас две переменные отрицательны, а третья положительна.

Допустим (взяв всё с теми же модулями, что и в пункте № 1), это могут быть числа –3, –4 и 7.

Тогда в первой тройке выходит наоборот: среди первых трёх слагаемых два будут равны числу –2, а третье слагаемое из числа трёх первых будет равно 2.

С другой стороны, во второй тройке слагаемых будет всё по-прежнему: снова одно попарное произведение будет положительным, а два — отрицательными. Ничего во второй тройке не поменялось! [Скажем, теперь a < 0, b < 0, c > 0 — тогда: ab > 0, ac < 0, bc < 0. Ничего здесь не изменилось, всё по-старому!]

А вот последнее, седьмое слагаемое будет положительным за счёт чётного числа отрицательных сомножителей (негативных сомножителей в данном случае два).

Теперь картина у нас такая:

–2 – 2 + 2 + 4 – 4 – 4 + 3 = –2 – 4 + 3 = –3.

Мой ответ будет таким. На мой взгляд, здесь возможны всего два принципиальных варианта: или вся сумма равна числу –5 (если среди a, b, c было два позитивных и одно негативное число), или же вся сумма равна числу –3 (если, наоборот, среди a, b, c было два негативных и одно позитивное)... Других вариантов не просматривается.

Ответить
+6
© 2012-2026 myanswer.ru
Все вопросы, размещенные на данном сайте, созданы пользователями или собраны из открытых источников. Связаться