Как решить: На дне рождения у Дядьки Черномора присутствовали 33 богатыря?

На дне рождения у Дядьки Черномора присутствовали все 33 богатыря. Черномор угощал их тортом по очереди. Первый богатырь съел 1/4 всего торта, второй 1/5 оставшегося, третий 1/6 оставшегося и так далее. Наконец 33-й богатырь съел 1/36 оставшегося куска, и то, что осталось, съел Черномор. Кто съел больше: первый богатырь или Черномор?

Во сколько раз? Если богатырь и Черномор съели поровну, в ответ запишите 1

+3
Жалоба

Ответы (3)

Поскольку первый богатырь съел 1/4 часть торта, значит остальным богатырям осталось 75% .

Теперь немного арифметики:

Богатырей будем обозначать цифрами:

2) 1/5 от 75% = 75/5 =15% - остаток 60%

3)1/6 от 60 % = 60/6 = 10% - остаток 50 %

4) 1/7 от 50% = 50/7 =7,14% - остаток 42,86%

5) 1/8 от 42,86% = 42,86/8 = 5,3575% - остаток 37,5%

6) 1/9 от 37,5% = 37,5/9 = 4,1669% - остаток 33,3%

7) 1/10 от 33,3% = 33,3/10 = 3,33% - остаток 29,97%

8) 1/11 от 29,97% = 29,97/ 11 = 2, 72% - остаток 27,25%

9) 1/12 от 27,25 % = 27,25/12 = 2,25 % - остаток 24,98%

10) 1/13 от 24 98% = 24,98/13 = 1,92% - остаток 23,06%

11) 1/14 от 23,06% = 23,08/14 = 1,647% - остаток 21,413%

12) 1/15 от 21,413% = 21,413/15 = 1,4275% - остаток 19,9855%

13) 1/16 от 19,9855% = 19,9855/16 = 1,249% - остаток 18,7365

14) 1/17 от 18,7365% = 18,7365/17 = 1,1% - остаток 17,63%

15) 1/18 от 17,63% = 17,63/18 = 0,9798% - остаток 17,993%

16) 1/19 от 17,993%= 17,993/19 = 0,947% - остаток 17,046%

17) 1/20 от 17,046% = 17,046/20 = 0,8523% - остаток 16,1937%

18) 1/21 от 16,1937% = 16,1937/21 = 0,771% - остаток 15,7227%

19) 1/22 от 15,7227% = 15,7227/22 = 0,7% - остаток 15,0227%

20) 1/23 от 15,0227% = 15,0227/23 = 0,6531% - остаток 14,3696%

21) 1/24 от 14,3696% = 14,3696/24 = 0,5987% - остаток 13,77%

22) 1/25 от 13,77% = 13,77/25 = 0,5508% - остаток 13,2192%

23) 1/26 от 13,2192% = 13,2192/26 = 0,5% - остаток 12,7192%

24) 1/27 от 12,7192% = 12,7192/27 = 0,471% - остаток 12,2482%

25) 1/28 от 12,2482% = 12,2482/28 = 0,437% - остаток 11,8112%

26) 1/29 от 11,8112% = 11,8112/29 = 0,4% - остаток 11,4112%

27) 1/30 от 11,4112% = 11,4112/30 = 0,38% - остаток 11,0312%

28) 1/31 от 11,0312% = 11,0312/31 = 0,3558% - остаток 10,6754%

29) 1/32 от 10,6754% = 10,6754/32 = 0,3336% - остаток 10,2918%

30) 1/33 от 10,2918% = 10,2918/33 = 0,31187% - остаток 9,9799%

31) 1/34 от 9,9799% = 9,9799/34 = 0,2935 % - остаток 9,6864%

32) 1/35 от 9,6864 % = 9,6864/35 = 0,2767% - остаток 9,4097%

33) 1/36 от 9,4097% = 9,4097/36 = 0,2613% - остаток 9,1484%

Остаток, который достался Черномору равен 9,1484% от всего торта.

А первый богатырь съел 25%.

Таким образом, первый богатырь съел торта больше в 25% : 9,1484% = 2,74 раза.

Ответ: 2,74

Ответить
+17
Вы использовали правильный подход а делу, но получили неправильный ответ. Должно было получиться ровно 3.
В идеале нужно использовать натуральные дроби, но тогда расчёт усложнится в разы. Поэтому лучше использовать калькулятор и компьютер, но они используют десятичные дроби. Любой перевод в десятичную дробь - это потеря точности.
Посмотрите внимательно на свой расчёт. Где-то 2 знака после запятой, а где-то 5. В результате 33 шагов вычислений, точность снижалась, пока ошибка не достигла плюс-минус трамвайная остановка.
Ответить
Спасибо за подсказку, я действительно кое- где использовала сокращение, вот и получила неточный результат. Но исправлять не буду. Я оставляю свою погрешность на крошки.
Ответить

Огромный был, видимо, торт, а еще больше аппетит у первого богатыря, как он смог съесть в 8 раз больше, чем съел последний, скромный, 33-й богатырь, удивительно.

Здесь очень важно, что последующие богатыри отъедали свои доли не от целого торта, это было бы проще, а от оставшегося куска. То есть второй богатырь съел не 1/5 торта, а (1/5) х (3/4) = 3/20, а от торта после этого осталось 12/20 или 3/5, ну и так далее, то есть размеры кусочков уменьшаются очень быстро. В итоге Черномору достался довольно приличный кусочек тортика: 0,08, то есть поменьше десятой части, и съел он намного меньше, чем первый богатырь.

автор
Ответить
+3

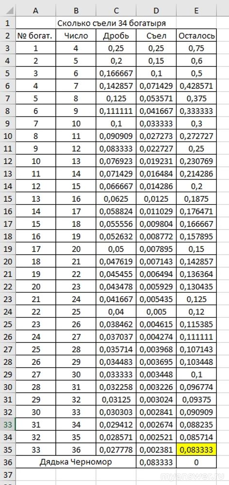
Если считать вручную, то так можно провозиться и до утра. Поэтому в таких случаях рекомендуется пользоваться программой Excel. В каждой строке необходимо посчитать количество съеденного торта каждым богатырём, и остаток после съеденного.

Этот процесс вычисления смутно напоминает расчёт помесячных выплат по кредитам, где процент начисляется на остаток.

Итак делаем таблицу. Первым столбцом записываем номер богатыря. Вторым - число от 4 до 36. Третьим - величину обратную этому числу. Четвёртым - сколько съел богатырь. Пятым - сколько после него осталось.

Например: 1 богатырь съел 0.25, следовательно 1-0.25 = 0,75 осталось.

2 богатырь съел 0,2*0,75 = 0,15, следовательно 0,75-0,15 = 0,6 осталось и т.д.

Как решить: На дне рождения у Дядьки Черномора присутствовали 33 богатыря?

Из таблицы видно, что дядьке Черномору досталось 0,08(3) торта, выделено жёлтым цветом, в то время как первый богатырь съел 0,25 торта. 0,25/0,08(3) = 3.

Поэтому мой ответ такой - первый богатырь съел в 3 раза больше, чем Черномор. Наглядно это видно в диаграмме Excel:

Как решить: На дне рождения у Дядьки Черномора присутствовали 33 богатыря?

Дядька Черномор идёт под номером 34.

Ответить
+2
К сожалению я тут в ЧС и ответ дать не могу. Но у ребят на олимпиаде нет Экселя. Да он и не нужен. Задача не сложная.
После первого осталось 3/4, после второго 4/5 от 3/4 ну и так далее
В итоге до черномора дойдет остаток 3/4 • 4/5 • 5/6 • 6/7 • … • 34/35 • 35/36
Как понимаем числители и знаменатели соседних дробей по сокращаются и останется 3/36 = 1/12 - это достанется Черномору. И 1/4 в 3 раза больше 1/12
Ответить
Я с Вами частично согласен. В результате странных умозаключений Вы всё же получили правильный ответ. Проблема в том, что ни я, ни тем более школьник, не сможет вывести приведённую формулу. Остаток всю жизнь считался как разность, но чтобы остаток считался через умножение -это какой-то сюр. Уверен, что вашим методом пользуются только те люди, которые знают правильный ответ.
Я же всегда использую аргументацию, понятную зрителям. Каждая строчка в моем ответе обоснована, а не взята с потолка.
Если бы я использовал Ваш метод, в мой ответ мало бы кто поверил.
Обратите внимание на ответ Elka11. Численно ответ неправильный, но всё же близко. Ошибка не более 10%. Ответ самый популярный, потому что людям интересна понятная по сути логика вычисления. И это логика может пригодиться в дальнейшем, например в расчёте помесячных выплат по кредитам.
Ответить
В том то и дело, что это задача олимпиады. И детки именно так и будут считать. Этому их учат. И продвинутые в математике должны сообразить.
Вы должны понимать, что в разделе математика выкладываются не обывательские вопросы, которые надо решить любым способом. А именно решить так, как это можно только с листочком и ручкой на уроке. И кому интересен вопрос идут за идеей, а не за готовым ответом. Я написал решение за минуту не читая даже конечный ответ. Просто это опыт и знания.
А по поводу лайков у Елки. Это не "про хороший и понятный ответ" - это про "ты мне я тебе" и кучу подписчиков в избранном". Но таковы издержки этого проекта.
Ответить
© 2012-2026 myanswer.ru
Все вопросы, размещенные на данном сайте, созданы пользователями или собраны из открытых источников. Связаться