Как решить матричное уравнение?

Как решить матричное уравнение?

Доброго времени суток. Такая вот проблемка((( Знаний 0, а решить нужно. Посоветуйте, пожалуйта, учебник для начинающих.

Заранее благодарю.

+2
Жалоба

Ответы (3)

1) Давайте для начала займёмся первым определителем. Пока найдём значение его самого, без учёта того коэффициента-половинки, что стоит перед ним.

Как решить матричное уравнение?
Как решить матричное уравнение?

Я думаю, учить правило треугольника даже не обязательно. Я обычно просто копирую две верхние строки, дописывая их снизу, и пользуюсь правилом Саррюса. Оно куда как легче для запоминания!

Первый определитель у нас равен:

det₁ = (x + 1) * x * (x – 2) + 2 * 0 * 3 + (–1) * 1 * 1 – 3 * x * (–1) – 1 * 0 * (x + 1) – (x – 2) * 1 * 2 = (x² + x)(x – 2) – 1 + 3x – 2(x – 2) = x³ – 2x² + x² – 2x – 1 + 3x – 2x + 4 = x³ – x² – x + 3.

2) Со вторым определителем куда как проще... Это произведение выражений на главной диагонали (которая идёт от левого верха до правого низа) минус произведение выражений на побочной диагонали (идущей от правого верха до левого низа).

det₂ = 6 – 2x² – x(x + 2) = 6 – 2x² – x² – 2x = –3x² – 2x + 6.

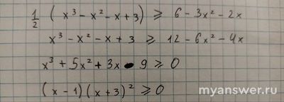
3) Теперь у нас уже будет простое алгебраическое неравенство; осложнится дело тем, что оно у нас будет кубическим. Но попробуем его решить!

(1/2)det₁ ⩾ det₂;

(1/2) * (x³ – x² – x + 3) ⩾ –3x² – 2x + 6;

умножаем обе части на число 2, дабы избавиться от нецелого коэффициента слева;

x³ – x² – x + 3 ⩾ –6x² – 4x + 12;

переносим всё, что справа, в левую часть; конечно, всё перенесённое при этом меняют свои знаки; заодно мы слева всё немного сгруппируем по степеням;

x³ – x² + 6x² – x + 4x + 3 – 12 ⩾ 0;

приводим слева подобные члены;

x³ + 5x² + 3x – 9 ⩾ 0.

4) Как решать нечто кубическое? Решение неравенств, безусловно, базируется на решении уравнений. Как же решить кубическое уравнение x³ + 5x² + 3x – 9 = 0? К сожалению, у меня не получилось сгруппировать члены должным образом, ибо у нас четыре различных по модулю коэффициента... Я думаю, в данном случае не грех один корень отгадать, занявшись подбором делителей свободного члена и затем подстановкой и проверкой. Целые делители свободного члена (он равен –9) в данном случае таковы: ±1, ±3 и ±9. Подставив первое число, то есть единицу, мы сразу понимаем, что это наш корень: 1³ + 5 * 1² + 3 * 1 – 9 = 1 + 5 + 3 – 9 = 0. Отлично!

А теперь можно разделить многочлен x³ + 5x² + 3x – 9 на бином x – 1 уголком.

Как решить матричное уравнение?

Ура! Очень хорошо поделилось, без всякого остатка. Результат равен x² + 6x + 9. И это заключается в скобки по формуле квадрата суммы, применяемой справа налево: x² + 6x + 9 = (x + 3)². Мы нашли второй корень –3, правда, он оказался двукратным.

Наше неравенство теперь приняло следующий вид:

(x + 3)²(x – 1) ⩾ 0.

5) Остаётся начертить некий эскиз нашей кубической параболы, применив метод интервалов.

Как решить матричное уравнение?

Знак неравенства у нас нестрогий. Неравенство не дробное (к счастью, в знаменателе у нас не оказалось неизвестного). Значит, обе точки (–3 и 1) будут вколотыми (закрашенными).

Во-первых, идя слева направо, мы можем проверить наше неравенство на числе –4: (–4 + 3)² * (–4 – 1) * = (–1)² * (–5) = 1 * (–5) = –5. Имеем знак минус.

Во-вторых, мы имеем право проверить на нуле: (0 + 3)² * (0 – 1) = 9 * (–1) = –9. То же самое: тоже получился знак "минус".

Во-третьих, мы можем проверить знак, скажем, на числе 2: (2 + 3)² * (2 – 1) = 25 * 1 = 25. А теперь явно знак "плюс"!

Итак, нам для ответа нужно взять закрытый отрезок [1; +∞).

Но! Точка –3 — это "лепесток". При проходе через неё наша кубическая функция знака по сути дела не поменяла, но она коснулась оси абсцисс. И, поскольку знак у нас нестрогий, мы обязаны и эту точку тоже добавить к нашему решению.

Мой окончательный ответ будет таков: x ∈ {–3} ∪ [1; +∞).

Ответить
+10

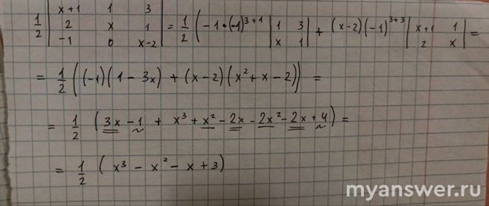
Для вычисления определителей матриц 3 на 3 существуют различные способы, для меня лучшим был метод разложения по строке или столбцу (хорошо работает, если в какой-то строке или столбце есть ноль (так меньше считать), как раз наш случай:

Как решить матричное уравнение?

Надеюсь, что посчитал верно))

Рассмотрим выражение справа:

Как решить матричное уравнение?

Получим неравенство:

Как решить матричное уравнение?

Решим полученное неравенство и получим наш ответ:

Как решить матричное уравнение?

PS: что до Вашего вопроса по литературе. Мне мой преподаватель постоянно говорил: "Читай Пискунова". Кстати, хороший учебник в двух частях для втузов по математике, так что посоветовать могу только его.

Ответить
+3

Теория, которая может пригодиться для решения подобных задач: Способ вычисления определителя матриц методом треугольника:

Как решить матричное уравнение?

Метод разложения по строке или столбцу:

Как решить матричное уравнение?

В теории выглядит страшно, но в практике всё намного лучше:

Как решить матричное уравнение?

Как указано в одном из предыдущих ответов это просто суперский метод при наличии нулей в матрице, так как выражение становится намного меньше и в этом случае проще считать

Ответить
+1
© 2012-2026 myanswer.ru
Все вопросы, размещенные на данном сайте, созданы пользователями или собраны из открытых источников. Связаться