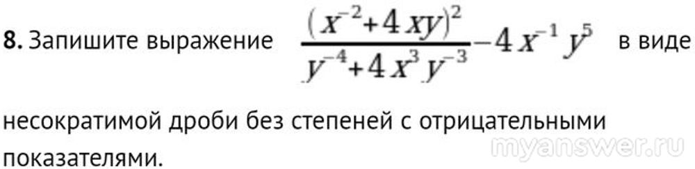
Помогите пожалуйста, как решается такой пример по алгебре?

Помогите пожалуйста, как решается такой пример по алгебре?
0
Жалоба

Ответы (2)

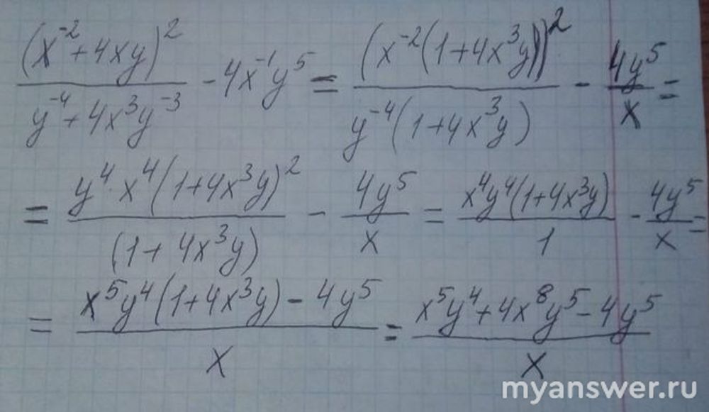
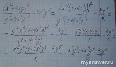
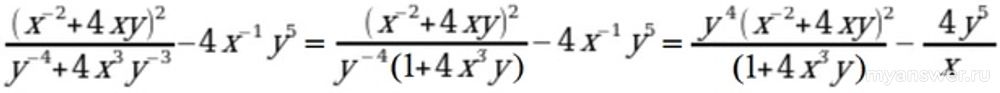
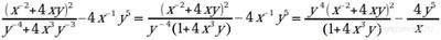
Для начала можно избавиться от отрицательных степеней в знаменателе, памятуя, что по определению b⁻ª = 1/bª. Ну вот и применим это к знаменателю:

y⁻⁴+4x³y⁻³ = y⁻⁴(1+4x³y).

И поскольку это знаменатель, то всю дробь теперь можно переписать как

Помогите пожалуйста, как решается такой пример по алгебре?

Ну и теперь можно просто сложить эти две дроби по обычным правилам сложения алгебраических дробей.

Update:

Только перед этим тут можно ещё всё упростить, и довольно сильно:

Помогите пожалуйста, как решается такой пример по алгебре?

Вот теперь, если к тому же раскрыть скобки в числителе, всё получается совсем просто :)

Ответить
+2
Спасибо
автор
Ответить

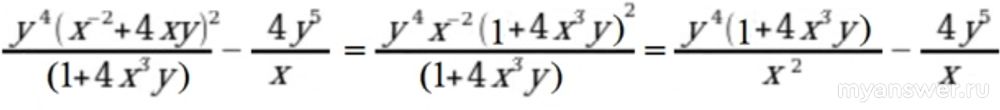
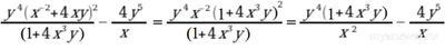
Здравствуйте. Для решения сначала выносим за скобки общие множители (в числителе он потом возводится в квадрат), затем применяем формулу перехода от отрицательной степени к положительной. Затем сокращаем дробь на общий множитель, приводим дроби к общему знаменателю и раскрываем скобки. Подобных слагаемых нет, в итоге получаем следующее:

Помогите пожалуйста, как решается такой пример по алгебре?
Ответить
+1
Спасибо
автор
Ответить
© 2012-2026 myanswer.ru
Все вопросы, размещенные на данном сайте, созданы пользователями или собраны из открытых источников. Связаться