Сколько различных путей из города А в город М по дорогам на схеме?

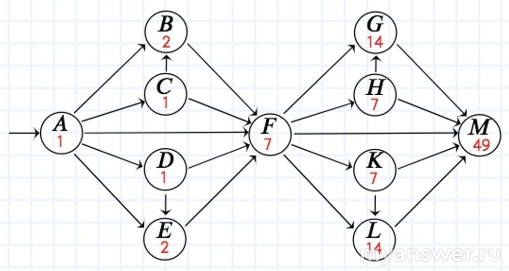
На рисунке изображена схема дорог, связывающих города А, B, C, D, E, F, G, H, K, L, M. По каждой дороге можно двигаться только в одном направлении, указанном стрелкой.

Сколько существует различных путей из города

А в город М?

Сколько различных путей из города А в город М по дорогам на схеме?
0
Жалоба

Ответы (2)

В который раз рассказываю метод решения подобных задач.

он состоит в последовательном суммировании приходящих путей (стрелочек) в каждый пункт.

Начинаем с начального пункта А. Ему присваиваем 1 (якобы мы туда пришли)

Смотрим рисунок

Сколько различных путей из города А в город М по дорогам на схеме?

Следующий ряд. В этом ряду в С и D приходит по 1 стрелочке от А = 1. Значит С = 1; D = 1

Теперь смотрим B (приходит 2 стрелки из А и С) B = A + C = 1 + 1 = 2

Аналогично E = A + D = 1 + 1 = 2

Далее F = A + B + C + D + E = 1 + 2 + 1 + 1 + 2 = 7

Ну а вторая часть от F такая же как от А

Проставляем числа: H = 7; K = 7; G = 14; L = 14

Ну и M = F + G + H + K + L = 7 + 14 + 7 + 7 + 14 = 49

Ответ: 49

Ответить
+2

Исходная схема содержит 11 населённых пунктов (A, B, C, D, E, F, G, H, K, L, M), между которыми проложено 22 односторонних дороги (AB, AC, AD, AE, AF, FG, FH, FK, FL, FM, CB, DE, HG, KL, GM, HM, KM, LM, BF, CF, DF, EF)

Из города А в город F всего 7 различных путей:

  1. A -> B -> F
  2. A -> C -> F
  3. A -> F
  4. A -> D -> F
  5. A -> D -> E - F
  6. A -> C -> B - F
  7. A -> E -> F

так же как из города F в город M тоже 7 различных путей.

  1. F -> G -> M
  2. F -> H -> M
  3. F -> H -> G -> M
  4. F -> M
  5. F -> K -> M
  6. F -> K -> L -> M
  7. F -> L -> M

Каждую дорогу из A в F можно продолжить любой дорогой из F в M

Всего 7×7=49

Ответ: из города A в город M существует всего 49 различных путей

автор
Ответить
+1
© 2012-2026 myanswer.ru
Все вопросы, размещенные на данном сайте, созданы пользователями или собраны из открытых источников. Связаться