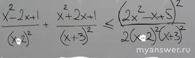
X²-2x+1/(x-2) ² + x²+2x+1/(x+3) ² <= ...(см.)Как решить данное неравенство?

Если решений несколько, то написать наибольший положительный корень в промежутке: [1/4; 10000]

X²-2x+1/(x-2) ² + x²+2x+1/(x+3) ² <= ...(см.)Как решить данное неравенство?
+1
Жалоба

Ответы (1)

Элементарно - приведением дробей к общему знаменателю (в левой части). Но перед этим невредно будет сообразить, что в исходных дробях в числителях представлены полные квадраты, то есть в левой части будет вот что:

(х-1)²/(х-2)² + (х+1)²/(х-3)².

Вот теперь приводим их к общему знаменателю, и вполне очевидно, что там после сложения получится такой числитель:

(x-1)²(х+3)²+(х+1)²(х-2)²

Знаменатель дроби в левой части при этом, что характерно, окажется с точностью до множителя равным знаменателю в правой части. Ну и чтоб сделать их совсем равными, домножим числитель и знаменатель в левой части на 2. Тогда получится две дроби с одинаковыми знаменателями. А если знаменатели одинаковые, то для дальнейшего нужны только числители. То есть неравенство сводится вот к такому:

2(x-1)²(х+3)²+2(х+1)²(х-2)² ≤ (2х²-х+5)²

Ну а дальше уже просто. Достаточно раскрыть скобки и взаимно сократить одинаковые степени, чтоб получить банальное квадратное неравенство.

Ответить
+3
© 2012-2026 myanswer.ru
Все вопросы, размещенные на данном сайте, созданы пользователями или собраны из открытых источников. Связаться