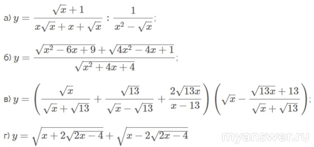
Как упростить эти функции и построить графики(см)?

Как упростить эти функции и построить графики(см)?
0
Жалоба

Ответы (1)

К сожалению, здесь нельзя по-нормальному, в два этажа, нарисовать дроби, тем более с корнями.

Поэтому я прикладываю фото с решениями задач.

Почему они оказались повернуты боком - я не знаю. Повернуть их нормально здесь не получается.

Так что простите, но что есть, то есть.

Графики, извините, постройте сами. У меня здесь нет возможности. Кривые достаточно простые.

Как упростить эти функции и построить графики(см)?
Как упростить эти функции и построить графики(см)?
Ответить
+1
© 2012-2026 myanswer.ru
Все вопросы, размещенные на данном сайте, созданы пользователями или собраны из открытых источников. Связаться